MAGAZINE FACADE SYSTEMS 2-3 (38-39), 2017
ВЫПУСК «2-3 (38-39)», 2017
SUMMARY
|
ЭКОНОМИКА. РЫНОК
|
|
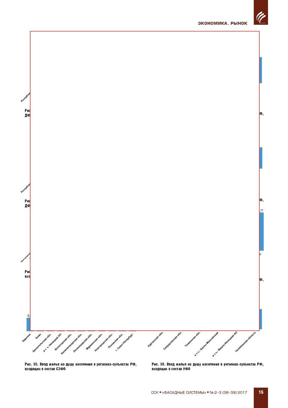
Н.Л. Гаврилов-Кремичев, И.Л. Николаева (ИЦ «ССК»). Жилищное строительство
в России. Динамика, региональные особенности, потенциал, перспективы
Потенциал, динамика развития и основные показатели российского строительного рынка подробно анализировались в [1–5]. Показано, что основным показателем (индикатором), характеризующим уровень развития строительства, является ввод жилья. |
...2 |
|
Новый аналитический отчет «Российский оконно-фасадный рынок. Итоги
развития в 2000-2016 гг. и перспективы на 2017-2020 годы»
Отчет подготовлен компаниями ИЦ «Современные Строительные Конструкции» и «Агентство ССКИнформ» по результатам работ, выполненных в 2008–2017 гг. в рамках реализации совместного проекта «Мониторинг российского строительного рынка». |
...27 |
|
Потребительские настроения: россияне готовы покупать больше?
10 мая 2017 г. Всероссийский центр изучения общественного мнения (ВЦИОМ) представил данные опросов о том, насколько подходящим россияне считают нынешнее время для крупных покупок и кредитов, какую модель экономического поведения считают наиболее... |
...46 |
|
В. Ямбла (PMR). Украина: в строительстве растет индекс деловой уверенности
В период с 2008 г. по 2015 г. рост в строительной индустрии Украины в реальном выражении наблюдался только один раз, в 2011 году. А в 2013–2015 гг. произошло двукратное сокращение рынка. Тем не менее, строительная деятельность в стране восстанавливается... |
...54 |
|
АЛЮМИНИЕВЫЕ СИСТЕМЫ
|
|
Системы Kalzip для современных кровель и фасадов
Алюминиевые ограждающие конструкции зданий отражают современные тенденции в архитектуре, сочетая в себе превосходные эксплуатационные характеристики, долговечность, надежность и техническое совершенство. Сегодня те, кто инвестировал в алюминиевые кровельные... |
...18 |
|
ЭНЕРГОСБЕРЕЖЕНИЕ
|
|
О.Д. Самарин, В.В. Ревенко (НИУ МГСУ). Влияние изменения воздухообмена
за отопительный период на класс энергосбережения жилых зданий
В настоящее время в мире все больше и больше внимания уделяется энергосбережению в зданиях. И наша страна не исключение. Так, 29 ноября 2009 года был принят закон № 261ФЗ «Об энергосбережении и повышении энергетической эффективности». В пункте 6 статьи... |
...22 |
|
ТЕХНИЧЕСКОЕ РЕГУЛИРОВАНИЕ
|
|
СТО 99617898-001-2017 по применению пенополистирола в строительстве
Прошло почти полгода c момента, когда в январе 2017 г., был утвержден, и введен в действие отраслевой стандарт СТО 99 617 8980012017 «Технические решения утепления стен, фундаментов мелкого заложения, покрытий, чердачных перекрытий и полов с применением... |
...26 |
|
ВЫСТАВКИ. ЯРМАРКИ
|
|
«R+T 2018». Узнайте о мировых тенденциях в области производства жалюзи,
ворот и солнцезащитных систем!
Новые технологии, новые знания, новые контакты: R+T 2018 раскрывает небывалый инновационный потенциал. Представленный ассортимент жалюзи, ворот и солнцезащитных систем устанавливает новые международные стандарты. На R+T специалисты, работающие в этой... |
...24 |
|
Обширнейшая программа: ради этого стоит посетить R+T
От ведущих производителей мирового рынка до молодых компаний, предлагающих инновационные идеи – более 900 участников покажут на R+T 2018, каковы тенденции, определяющие развитие отрасли. Вот 4 причины, по которым нельзя пропустить R+T: |
...25 |
|
«R+T 2018» в Штутгарте: авторитетные партнеры и лучшие «ноу-хау»
для фасадов, дверей и ворот
Messe Stuttgart получает большую поддержку от отраслевых союзов и ассоциаций, научных учреждений и профессиональных объединений в организации выставки «R+T» в Штутгарте, которая пройдет с 27 февраля по 3 марта 2018 года. В результате этих успешных совместных... |
...34 |
| Специализированная форум-выставка «Строительство и ЖКХ» в Воронеже | ...36 |
| V юбилейная выставка строительных материалов, технологий «СтройЭкспоКрым» | ...55 |
| Выставка «Строительство-2017. URAL» | ...56 |
| Крым – Юг России. Межрегиональная выставка «СтройЭнерго» | ...56 |
|
ОБОРУДОВАНИЕ
|
|
Великолепный результат концерна Weinig на выставке Ligna 2017
26го мая в Ганновере закончилась LIGNA, ведущая мировая выставка деревообрабатывающей отрасли. Одним из выигравшим от этого мероприятия стал концерн Weinig, объем заказов которого составил 47 млн. евро. Выступив под девизом THINK WEINIG, лидер рынка станков... |
...28 |
|
СТРОИТЕЛЬСТВО
|
|
В. Е. Пригожин. О проекте «Московский стандарт предоставления новых квартир
в рамках программы реновации пятиэтажного жилищного фонда»
на портале mos.ru
Дорогие москвичи! Многие из вас, благодаря программе реновации, получат возможность переехать из морально устаревшего и физически изношенного жилья в современное, более удобное и комфортное, оснащенное лифтами и остекленными балконами, безопасными электроплитами... |
...30 |
|
Парижский Манхэттен
Париж – один из самых значимых культурных, политических, деловых и финансовых центров мира. Получившие мировую известность Лувр, Нотр Дам, Эйфелева башня давно стали символами французской столицы, притягивающими миллионы туристов. Его называют городом... |
...39 |
|
ФАСАДЫ МИРА
|
|
Датчане в деле: как зернохранилище превратилось в жилой дом
Датское архитектурное бюро «COBE» превратило бывшее зернохранилище в многоквартирный жилой дом с граненым фасадом в одном из районов .. |
...37 |
|
Первый масштабный проект Сантьяго Калатравы в Лондоне
В начале 2017 года знаменитый испанский архитектор Сантьяго Калатрава представил свой первый крупный проект Peninsula Place для Лондона |
...48 |
|
Динамичный фасад и стекло
От декоративной роли фасадов современная архитектура переходит к построению дома как целостной системы. Фасадная часть здания становится более разнообразной не только по стилю и виду материалов, но и по своему функциональному ... |
...50 |
|
В Австралии построят «вазообразный» небоскреб по проекту бюро Захи Хадид
Лондонское архитектурное бюро Zaha Hadid Architects представило проект 185метрового небоскреба в Мельбурне (Австралия), особенностью которого станет 4х ярусная «вазообразная» конструкция с белым филигранным фасадом и большими окнами. |
...52 |
|
ПОДПИСКА
|
| Подписка | ...57 |
|
ПРЕВЬЮ ЖУРНАЛА
|
| Превью |

